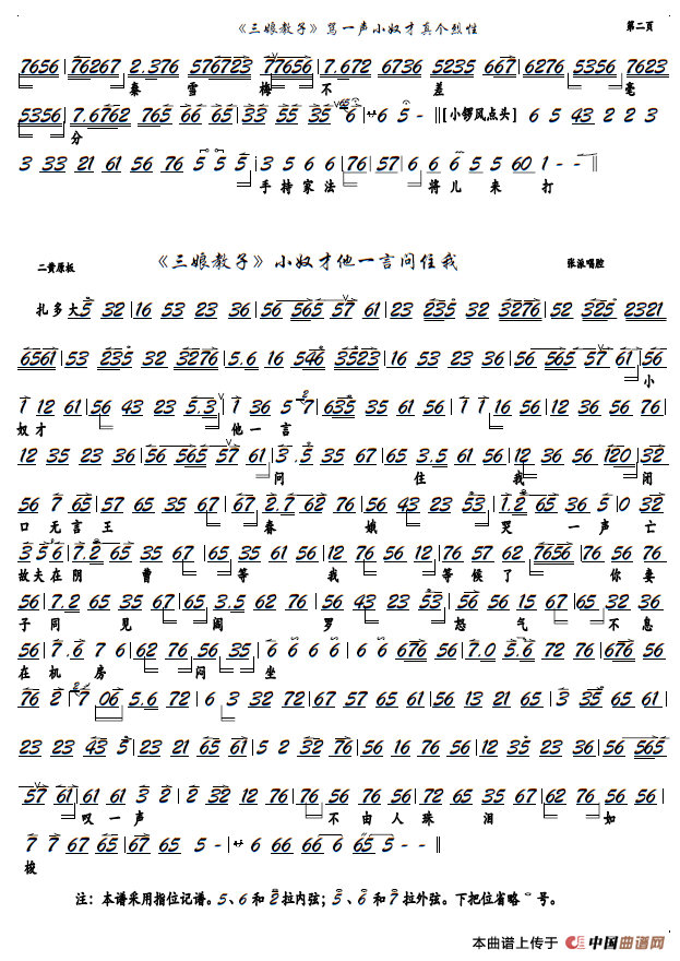
《三娘教子》骂一声小奴才真个劣性(京剧《三娘教子》选段,京胡谱)
来源:谱友崇公道上传 上传:崇公道
日期:2015-01-17
浏览次数:
提示:在曲谱图片上单击右键,选择"图片另存为..."即可将曲谱保存到您的电脑中,打印时候可将图片插入到WORD中,调整合适大小打印即可。
