用户名: 密码: 免费注册 忘记密码?
收藏本站| 网站帮助| 谱友留言| 上传曲谱| 首页
心之歌个人制谱园地
http://www.qupu123.com/space/158535
作品详情

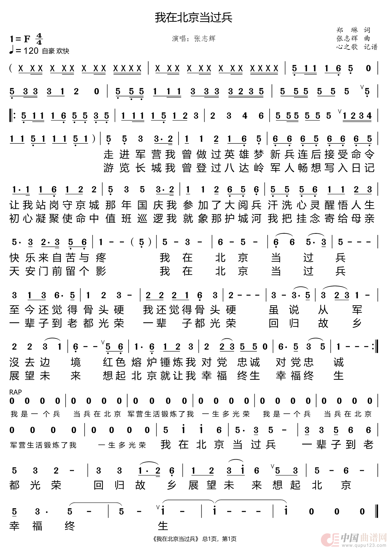
我在北京当过兵(张志辉)

作词:郑琳   作曲:张志辉   演唱(奏):张志辉   来源:谱友心之歌上传   上传:心之歌   日期:2025-10-27   浏览次数:  
发送到我的邮箱 打包下载 全屏查看 手机看谱 加入收藏 发表评论
提示:在曲谱图片上单击右键,选择"图片另存为..."即可将曲谱保存到您的电脑中,打印时候可将图片插入到WORD中,调整合适大小打印即可。
我在北京当过兵(张志辉)(1)_原文件名:我在北京当过兵.png
点击查看剩余 1 张曲谱
关于《我在北京当过兵》曲谱的评论
此曲谱暂无评论,欢迎发表您的见解。
发表评论 必须登录后才能发表评论,还未注册?
您还未登录 用户名: 密码:
Copyright © 2013 www.qupu123.com All Rights Reserved 心之歌 版权所有 未经作者允许,请勿转载。